Comunicación presentada al VII Congreso Edificios Energía Casi Nula
Autores
- Héctor F. Chinchero, Doctorando, Universidad de Oviedo, España
- J. Marcos Alonso, Profesor, Universidad de Oviedo, España
- Hugo Ortiz T., Profesor, Universidad de las Fuerzas Armadas ESPE, Ecuador
Resumen
Este documento presenta un sistema de iluminación LED que utiliza Control Magnético (CM) en el lado del controlador de iluminación para aplicaciones de edificios inteligentes (EI). Las consideraciones sobre EI se presentan centradas en el confort, seguridad, eficiencia energética y las comunicaciones en edificios que utilizan tecnologías y protocolos de Internet de las cosas (IoT). También presenta la aplicación de CM en controladores LED RGB con topología de un solo inductor y múltiples salidas denominada SIMO, como caso de estudio. Por último, se presenta una infraestructura de Sistema de Iluminación LED Inteligente con CM e integración de sensores IoT para Edificios Inteligentes.
Palabras clave
Edificio Inteligente (EI), Control Magnético (CM), Single Inductor Multiple Output (SIMO), Internet de las Cosas (IoT).
Introducción
La iluminación LED es cada vez más una de las tecnologías de iluminación de mayor uso en entornos residenciales, edificios comerciales, vías públicas, parques, edificios industriales, campus académicos, hospitales, hoteles, etc. Muchos fabricantes de luminarias están desarrollando nuevas tecnologías de encapsulación y sobre todo implementando nuevas tecnologías de control, controladores y metodologías optimizadas para sistemas de iluminación LED. Los convertidores CC-CC se utilizan generalmente para el control de iluminación LED, que funcionan en diferentes puntos de operación de acuerdo con la modificación de parámetros tales como el ciclo de trabajo, la frecuencia, etc.
Un método emergente para controlar los convertidores CC-CC es el control magnético (CM) (Alonso, J. M., Dalla Costa, M. A., Rico-Secades, M., Cardesín, J., Garcia Armstead, J., 2008, Investigation of a New Control Strategy for Electronic Ballasts Based on Variable Inductor, IEEE Trans. on Ind. Electr., vol. 55, no. 1, pp. 3-10.). Con CM es posible regular las condiciones de la salida del convertidor en función de la variación de la inductancia del filtro del convertidor. La variación de la inductancia se realiza mediante el uso de un inductor variable (IV) que cambia según el efecto producido por un bobinado auxiliar a través del cual circula una corriente de polarización (Alonso, J. M., Dalla Costa, M. A., Rico-Secades, M., Cardesín, J., Garcia Armstead, J., 2008, Investigation of a New Control Strategy for Electronic Ballasts Based on Variable Inductor, IEEE Trans. on Ind. Electr., vol. 55, no. 1, pp. 3-10)(Alonso, J. M., Perdigao, M., Dalla Costa, M. A., Martínez, G., & Osorio, R., Analysis and Experiments on a Single-Inductor Half-Bridge LED Driver with Magnetic Control, IEEE Trans. on Power Electronics, vol. 32, no. 12, pp. 9179-9190). Por otro lado, en electrónica de potencia, el control usando un solo inductor y múltiples salidas denominada (SIMO) se utiliza en convertidores que funcionan con un solo inductor como elemento de control de entrada para la regulación de múltiples canales de salida de corriente o voltaje (Kim, H., Yoon, C., Jeong, D., & Kim, J., 2014, A Single-Inductor Multiple-Channel Current-Balancing LED Driver for Display Backlight Applications, IEEE Trans. on Industry Applications, vol. 50, no. 6, pp. 4077-4081)(Ma, D., Ki, W., Tsui, C., & Mok, P., 2003, Single-Inductor Multiple-Output Switching Converters With Time-Multiplexing Control in Discontinuous Conduction Mode, IEEE Trans. on Solid-State Circuits, vol. 38, no. 1, pp. 89-99). En los convertidores CC-CC para iluminación LED, la metodología SIMO se utiliza para el control de corriente de salida de matrices LED para lograr un flujo luminoso eficiente y permitir que cada bucle de corriente en las matrices LED funcione en el punto de operación correcto.
En este artículo se introduce un nuevo concepto sobre convertidores CC-CC con CM para aplicaciones de iluminación LED que emplean el convertidor reductor y la topología SIMO basado en el uso de un IV como elemento controlable en el convertidor. En los convertidores SIMO convencionales, la inductancia debe diseñarse por debajo de la inductancia crítica con la que el convertidor reductor SIMO opere en modo de conducción discontinua (MCD) a la tensión de entrada máxima, el voltaje de salida mínimo y la corriente de carga completa. Con una inductancia fija, la ondulación de corriente del inductor será bastante grande cuando el convertidor reductor SIMO funcione con un voltaje de entrada más bajo pero con mayor voltaje de salida, lo que conduce a mayores pérdidas de conmutación y conducción. Sin embargo, con el IV la inductancia se puede variar adaptativamente con el voltaje de entrada o la corriente de carga, contribuyendo a una menor tensión de corriente y una mayor eficiencia de conversión con respecto al convertidor que trabaja con la misma tensión de entrada o corriente de carga, pero con una inductancia fija.
Los controladores de iluminación LED se utilizan en la aplicación como iluminación RGB, control de canales RGBW, etc. Los controladores pueden ser utilizados de forma autónoma en aplicaciones residenciales, o controladores con comunicaciones de red de control tales como DALI, KNX, BUSing, LONWorks, BACNet, etc. para infraestructuras de EI (Chinchero, H.F., Alonso, J.M., 2020, A Review on Energy Management Methodologies for LED Lighting Systems in Smart Buildings, 20TH EEEIC International Conference on Environment and Electrical Engineering, Madrid, Spain) (Sinopoli, J., 2016, Advanced Technology for Smart Buildings, Artech House Power Engineering Library, Boston, USA). Actualmente, es posible encontrar controladores LED que incluyan transceptores digitales con el fin de comunicar información con plataformas IoT para integrar el control de iluminación en Sistemas de Gestión de Energía (SGE).
Sistema de iluminación Led para edificios inteligentes
Contexto de Edificios Inteligentes
Edificios Inteligentes (EI) es un concepto para infraestructuras tecnológicas de edificio que implementan soluciones con integración dispositivos, sistemas y servicios en un Sistema de Automatización de Edificios conocido como BAS (Building Automation System) (Chinchero, H.F., Alonso, J.M., 2020, A Review on Energy Management Methodologies for LED Lighting Systems in Smart Buildings, 20TH EEEIC International Conference on Environment and Electrical Engineering, Madrid, Spain). El objetivo del BAS para EI es desarrollar e implementar servicios que ayuden a la gestión del edificio y mejorar la calidad del servicio, así como la comodidad del usuario en el edificio (Chinchero, H.F., Alonso, J.M., 2020, A Review on Energy Management Methodologies for LED Lighting Systems in Smart Buildings, 20TH EEEIC International Conference on Environment and Electrical Engineering, Madrid, Spain). La Figura 1 ilustra el contexto para EI considerando sus componentes y sistemas.

Los servicios en un EI deben desarrollarse de acuerdo con los cuatro sistemas que conforman un verdadero edificio inteligente. Estos son el sistema de ahorro de energía, los sistemas de seguridad, el sistema de bienestar y confort, y finalmente el sistema de comunicaciones (Chinchero, H.F., Alonso, J.M., 2020, A Review on Energy Management Methodologies for LED Lighting Systems in Smart Buildings, 20TH EEEIC International Conference on Environment and Electrical Engineering, Madrid, Spain) (Sinopoli, J., 2016, Advanced Technology for Smart Buildings, Artech House Power Engineering Library, Boston, USA). Con el fin de garantizar el concepto de EI, existen tecnologías desarrolladas con redes de control en sistemas distribuidos para la automatización total del edificio. Debido a su amplia difusión y su rendimiento, algunos protocolos se consolidan para redes de control, como Bacnet, Lonworks, Busing y KNX (Chinchero, H.F., Alonso, J.M., 2020, A Review on Energy Management Methodologies for LED Lighting Systems in Smart Buildings, 20TH EEEIC International Conference on Environment and Electrical Engineering, Madrid, Spain)(Sinopoli, J., 2016, Advanced Technology for Smart Buildings, Artech House Power Engineering Library, Boston, USA).
Actualmente las soluciones de EI incluyen una sólida integración con tecnologías emergentes para tecnologías de Internet de las cosas (IoT) como ZigBee, LoRa, Wings, Bluetooth, WiFi, entre otras (Sinopoli, J., 2016, Advanced Technology for Smart Buildings, Artech House Power Engineering Library, Boston, USA), con el fin de desarrollar servicios integrales para EI. Por otro lado, los protocolos como DALI y DMX (Sinopoli, J., 2016, Advanced Technology for Smart Buildings, Artech House Power Engineering Library, Boston, USA) están desarrollados para aplicaciones de iluminación inteligente y tienen características especiales para servicios de confort y ahorro de energía. Adicionalmente, existen dos sistemas bien definidos tradicionalmente para el control del entorno en EI.
El Sistema de Gestión de Espacio conocido como RMS (Room Management System) que controla estancias individuales y permite gestionar algunos sensores y actuadores para implementar servicios inteligentes en una determinada zona del edificio. Por otro lado, el Sistema de Gestión de Edificios conocido como BMS (Building Mangement System) es una plataforma integrada que permite al gestor del edificio realizar el control y supervisión de instalaciones técnicas, personal, optimización de recursos, gestión de la energía, etc.
Control magnético para controladores Led
Control Magnético
CM para convertidores CC-CC se realiza modificando el valor de inductancia en el filtro LC de los convertidores utilizando un IV (Alonso, J. M., Dalla Costa, M. A., Rico-Secades, M., Cardesín, J., Garcia Armstead, J., 2008, Investigation of a New Control Strategy for Electronic Ballasts Based on Variable Inductor, IEEE Trans. on Ind. Electr., vol. 55, no. 1, pp. 3-10)(Alonso, J. M., Perdigao, M., Dalla Costa, M. A., Martínez, G., & Osorio, R., Analysis and Experiments on a Single-Inductor Half-Bridge LED Driver with Magnetic Control, IEEE Trans. on Power Electronics, vol. 32, no. 12, pp. 9179-9190). El control del valor de inductancia se realiza a través de una corriente de polarización Ibias que está relacionada con la variación de la fuerza de campo magnético Hbias del núcleo del IV (Alonso, J. M., Dalla Costa, M. A., Rico-Secades, M., Cardesín, J., Garcia Armstead, J., 2008, Investigation of a New Control Strategy for Electronic Ballasts Based on Variable Inductor, IEEE Trans. on Ind. Electr., vol. 55, no. 1, pp. 3-10)(Alonso, J. M., Perdigao, M., Dalla Costa, M. A., Martínez, G., & Osorio, R., Analysis and Experiments on a Single-Inductor Half-Bridge LED Driver with Magnetic Control, IEEE Trans. on Power Electronics, vol. 32, no. 12, pp. 9179-9190). Esto permite que el sistema varíe el valor de la inductancia del convertidor reductor, modificando así el valor medio de la corriente de salida que circula a través del LED. El CM en convertidores CC-CC se realiza cuando el convertidor está trabajando en MCD (Alonso, J. M., Dalla Costa, M. A., Rico-Secades, M., Cardesín, J., Garcia Armstead, J., 2008, Investigation of a New Control Strategy for Electronic Ballasts Based on Variable Inductor, IEEE Trans. on Ind. Electr., vol. 55, no. 1, pp. 3-10)(Alonso, J. M., 2019, LED Lighting and Drivers, Amazon KDP). La Figura 2 muestra la forma de onda de corriente a través del inductor de un convertidor reductor que opera en MCD con dos valores de inductancia diferentes, L1
y L2. El inductor tiene un efecto directo en la corriente de salida media y la tensión de salida media. A medida que el valor de inductancia aumenta, la corriente media y el voltaje de salida disminuirán. Cuando el convertidor reductor está trabajando en MCD, se cumple la ecuación (1) (Alonso, J. M., Dalla Costa, M. A., Rico-Secades, M., Cardesín, J., Garcia Armstead, J., 2008, Investigation of a New Control Strategy for Electronic Ballasts Based on Variable Inductor, IEEE Trans. on Ind. Electr., vol. 55, no. 1, pp. 3-10)(Chinchero, H.F., Alonso, J.M., 2020, Aplicación de Control Magnético en Convertidores CC-CC para Alimentación de Lámparas LED,” 27 Seminario Anual de Automática, Electrónica Industrial e Instrumentación SAAEI 2020, Ciudad Real, Spain)-(Alonso, J. M., 2019, LED Lighting and Drivers, Amazon KDP):

donde Vi es el voltaje de entrada, L es la inductancia del convertidor, F es la frecuencia de conmutación, D representa el ciclo de trabajo del convertidor, Vo es el voltaje de salida y Io es la corriente de salida. Por otro lado, teniendo en cuenta que Io=Vo/R, la ganancia de voltaje del convertidor se expresa mediante la ecuación (2)(Alonso, J. M., Dalla Costa, M. A., Rico-Secades, M., Cardesín, J., Garcia Armstead, J., 2008, Investigation of a New Control Strategy for Electronic Ballasts Based on Variable Inductor, IEEE Trans. on Ind. Electr., vol. 55, no. 1, pp. 3-10)(Chinchero, H.F., Alonso, J.M., 2020, Aplicación de Control Magnético en Convertidores CC-CC para Alimentación de Lámparas LED,” 27 Seminario Anual de Automática, Electrónica Industrial e Instrumentación SAAEI 2020, Ciudad Real, Spain)-(Alonso, J. M., 2019, LED Lighting and Drivers, Amazon KDP). En (2), la ganancia de voltaje del convertidor en MCD M es una función directa de la inductancia. De esta manera, el CM proporciona un parámetro de control adicional frente a los métodos convencionales.
Control Magnético de Controladores LED de Un Canal
La topología del convertidor reductor con carga LED y CM para un solo canal se ha presentado en (Chinchero, H.F., Alonso, J.M., 2020, Aplicación de Control Magnético en Convertidores CC-CC para Alimentación de Lámparas LED,” 27 Seminario Anual de Automática, Electrónica Industrial e Instrumentación SAAEI 2020, Ciudad Real, Spain) como se muestra en la Figura 3, que consiste en un interruptor controlado S, un diodo D, un inductor variable (IV) L, un condensador C y una carga LED. La tensión de salida en el canal LED está determinada por Vo=VTH+RD∗Io, donde VTH es el voltaje de umbral LED y RD es la resistencia dinámica LED, entonces la ecuación (3) representará la carga del controlador.

Utilizando la expresión (3) en (2) y despejando L, la inductancia se resuelve con (4). Como se puede inferir de (4), para operar en un rango de valores de Io, el convertidor debe trabajar en un rango de valores de inductancia L, que proporciona el punto de partida para el diseño del IV para un cierto punto de operación LED (Chinchero, H.F., Alonso, J.M., 2020, Aplicación de Control Magnético en Convertidores CC-CC para Alimentación de Lámparas LED,” 27 Seminario Anual de Automática, Electrónica Industrial e Instrumentación SAAEI 2020, Ciudad Real, Spain).
Control Magnético de Controladores LED Multicanal RGB
En los convertidores CC-CC para iluminación LED multicanal, se utiliza la metodología SIMO para el control de corriente de salida de matrices LED (Chinchero, H.F., Alonso, J.M., 2020, Control Magnético de Convertidores DC-DC SIMO para Control de Iluminación LED, 27 Seminario Anual de Automática, Electrónica Industrial e Instrumentación SAAEI 2020, Ciudad Real, Spain) para lograr un flujo de luminosidad eficiente y permitir que cada bucle de corriente en las matrices LED funcione en los puntos de operación correctos. Es útil para lograr la maximización de la eficiencia, regulación de flujo luminoso, control de temperatura de color y brillo, etc. Un convertidor SIMO CC-CC en aplicaciones de iluminación LED genera simultáneamente [Ecuación] voltajes de salida y corrientes reguladas para cada matriz LED como se muestra en la Figura 4, utilizando un solo inductor y un único convertidor SIMO en el sistema de electrónica de potencia, de modo que los canales se pueden regular correctamente, distribuyendo la energía almacenada en el inductor a cada salida (Kim, H., Yoon, C., Jeong, D., & Kim, J., 2014, A Single-Inductor Multiple-Channel Current-Balancing LED Driver for Display Backlight Applications, IEEE Trans. on Industry Applications, vol. 50, no. 6, pp. 4077-4081)(Chinchero, H.F., Alonso, J.M., 2020, Control Magnético de Convertidores DC-DC SIMO para Control de Iluminación LED, 27 Seminario Anual de Automática, Electrónica Industrial e Instrumentación SAAEI 2020, Ciudad Real, Spain).
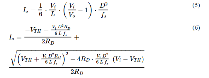
En el convertidor CC-CC SIMO Reductor propuesto se utilizan tres canales. Estos canales están asociados con tres matrices LED de tipo RGB. Se utilizarán tres señales de estado asociadas con los interruptores S1, S2 y S3 para el control de los tres canales, tal como se muestra en la Figura 6. La corriente de salida en cada canal viene determinada por (5) (U.S. Green Building Council, 2020, LEED v4.1 Building Desingn and Construcción, Standard). A continuación, utilizando el modelo LED, reemplazando la tensión de salida en el canal LED Vo en (5) y resolviendo la ecuación de segundo orden resultante, se obtiene la expresión para determinar Io en (6).
Como se puede ver en (6), la corriente de cada canal LED depende de parámetros tales como ciclo de trabajo D, frecuencia F, tipo de LED, voltaje de entrada Vi, y sobre todo del valor de inductancia L mediante la introducción de CM, para asegurarse de que el convertidor está trabajando en MCD. Esto abre una amplia gama de posibilidades de control digital, utilizando componentes con circuitos integrados, controladores digitales o microcontroladores para controlar los parámetros asociados.



Sistema de iluminación Led con CM e integración de sensores para EI
El sistema propuesto aborda la integración de los controladores desarrollados, Driver LED para un canal y Driver LED de tres canales tipo RGB, en una red de EI con el objetivo de implementar un Sistema Inteligente de Gestión de Energía de Edificios (SIGEE) para Sistemas de Iluminación LED. La Figura 6 muestra la arquitectura propuesta. En este esquema propuesto, cada uno de los drivers LED se puede implementar de acuerdo con una ingeniería de diseño de edificios en cualquier entorno, por lo que es necesario tener en cuenta los requisitos del servicio de iluminación en cada entorno para seleccionar el controlador adecuado.

En este caso de aplicación, el controlador de un canal se utiliza para regular áreas de iluminación puntuales, como habitaciones, salones, aseos, etc., es decir recomendado para estancias con RMS. Por otro lado, el controlador multicanal RGB también se puede utilizar en RMS y otros espacios comunes como puntos de encuentro, pasillos, vestíbulos, etc. conocidos como HMS (Hall Management System) para la decoración del espacio. También se podrán integrar dentro de otros servicios de iluminación inteligente como iluminación de cortesía, lámparas de emergencia y señalización. Además, la integración de los controladores LED en una infraestructura de EI permite desarrollar servicios de eficiencia energética, garantizando altos niveles de comodidad, seguridad y comunicaciones por parte del usuario.
Prototipos de controladores Led implementados
Como ejemplo de implementación, esta sección presenta el rendimiento de un Convertidor CC-CC SIMO Reductor de Tres Canales, que funciona con un ciclo de trabajo de 0,32 para el canal rojo, 0,43 para el canal verde y 0,41 para el canal azul y una frecuencia de conmutación de 100 kHz, por lo que cada canal funcionará a una frecuencia de 33,3 kHz. El convertidor CC-CC SIMO es alimentado por un voltaje de entrada que puede ir desde 14 V a 35 V para una carga LED de tres canales utilizando matrices LED de acuerdo con los parámetros del dispositivo LedEngine LZC-03MA007. La tensión de salida nominal de cada canal LED RGB es de 8,27 V para el canal rojo, de 11,43 V para el canal verde y de 10,11 V para el canal azul. La capacitancia del filtro de salida de cada canal es de 47 µF, implementada con un condensador de película para que su resistencia en serie pueda ser despreciada. La Tabla I resume los parámetros del prototipo de convertidor RGB implementado.


Verificación experimental de los controladores Led Implementados
En primer lugar, se ha medido en laboratorio la característica de corriente de salida en cada canal IR, IG y IB frente a la tensión de entrada Vi. La Figura 8 muestra la característica de corriente de salida de los tres canales LED RGB frente a la tensión de entrada Vi del convertidor CC-CC SIMO con CM. Como se puede ver, la corriente de salida en cada canal se mantiene en el valor nominal al variar el voltaje de entrada Vi en un rango razonablemente amplio entre 14 V y 35 V. El valor efectivo de la inductancia del convertidor oscila entre 3 µH y 8 µH, mientras que se verifica que el convertidor está funcionando en MCD. Por otro lado, incluyendo las pérdidas debidas al control de bias del IV, la eficiencia efectiva está entre 76% y 86% para voltajes de entrada entre 14 V y 35 V. La curva de eficiencia se muestra en la Figura 9.


Sistema inteligente de gestión de energía de edificios con integración de sensores IoT (SIGEE+IoT)
El espectro de aplicaciones, funciones y capacidades de SIGEE + IoT puede orientarse a todo el entorno del edificio, especialmente con el objetivo de lograr grandes ahorros de energía, altos niveles de confort y seguridad con comunicaciones flexibles y amigables. En este trabajo la gestión se centra principalmente en el sistema de iluminación; sin embargo, se puede integrar con funciones de gestión en otros sistemas del edificio que contribuyan a garantizar criterios de eficiencia energética tales como el aire acondicionado, temperatura, persianas, personal, etc.
Adicionalmente, se pueden obtener informes y reportes diarios, semanales y anuales sobre el comportamiento del edificio, de los niveles de consumo, así como informes sobre la determinación del nivel de bienestar y confort para los usuarios, y de estimación de la huella de carbono del entorno en el planeta. Otras funcionalidades incluyen conseguir los objetivos establecidos para Edificios Energía Casi Nula EECN conocidos también como nZEB (nearly Zero Energy Buildings) y Green LEED. La Tabla 2 sumariza los módulos SIGEE+IoT propuestos en este trabajo y que están orientados para el sistema de iluminación.
La Figura 10 muestra las aplicaciones propuestas para dispositivos inteligentes como teléfonos inteligentes, tabletas, ordenadores portátiles, pantallas táctiles, etc. utilizando iOS y aSC con integración en la nube. Considerando las tecnologías factibles, la interoperabilidad y la integración de sensores IoT, BUSing y LoRa han sido seleccionados para este trabajo con el fin de probar la metodología SIGEE en una infraestructura de EI. Sin embargo, la nueva metodología de Control Magnetico puede implementarse en drivers de iluminación LED con integración de sensores IoT sin dependencia de protocolos en infraestrucruras de EI. El control digital de los Drivers LED con CM, podrá ser implementado en todas las tecnologías de redes de control tales como BUSing, DALI, KNX, LONWORKS, BACNET, etc.

